2d stratified turbulence and internal gravity wave turbulence

Miguel Calpe Linares, Pierre Augier, Nicolas Mordant

FluidSim and the FluidDyn project

Ashwin Vishnu, Cyrille bonamy

           
ANR DisET meeting (30-31 Jan 2019)

Ocean turbulence statistics interpreted as the signature of IG waves

"Garrett-Munk spectrum"

  • vertical spectra $N^2 k_z^{-3}$

  • temporal spectra, energy for $f < \omega < N$

Naive representation: soup - cascade of (weakly interacting) IG waves?

   

3d strongly stratified turbulence

  • Kinematic decomposition: $\omega_z$, $\nabla_h u$ and shear modes

For oceanic parameters (strongly stratified, large Re):

  • Strongly non-linear

  • $\omega_z \sim \nabla_h u$

$$b(x,z)$$
Brethouwer, Billant, Chomaz & Lindborg (2007)

How to get "pure" IG wave turbulence?

  • We don't want $\omega_z$

    $\Rightarrow$ we can use 2d stratified turbulence.

  • We don't want shear modes

    $\Rightarrow$ we disable them

2D stratified turbulence to understand IG wave turbulence

Advantage: cheap so we can run several simulations at high Re

Goal: obtain IG wave turbulence

Which dissipation?

  • Dissipation at small scales

  • Hyper viscosity

Which forcing?

  • force eigenmodes of the linearized equations

  • correlation time $\sim$ wave period $T_N(k)$

  • intermediate-scale (possibility of upscale and downscale cascades)

Problem standard forcing in a shell:

no well-defined $T_N(k)$

Anisotropic forcing

$\Rightarrow$ well-defined non-dimensional numbers

  • direction of propagation $F = \frac{\omega_l}{N}$

  • non-linearity $\gamma = \frac{\omega_f}{\omega_l}$

  • dissipation

Few results

A dream: the "oceanic-like" limit

  • strongly stratified
  • weak dissipation at large horizontal scale (large buoyancy Reynolds number)

Warning:

Direction of propagation of forced waves! Here $F = \omega_l / N = 0.5$

We obtain statistically stationary flows

Dissipation only at small scales $\Rightarrow$ energy transfers towards small scales

   

It would not be the case without stratification!

Buoyancy fields at stationary state

   

Small vertical length scales for strong stratification

Warning: dissipation at large horizontal scale even for large $Re$

Horizontal and vertical spectra

   

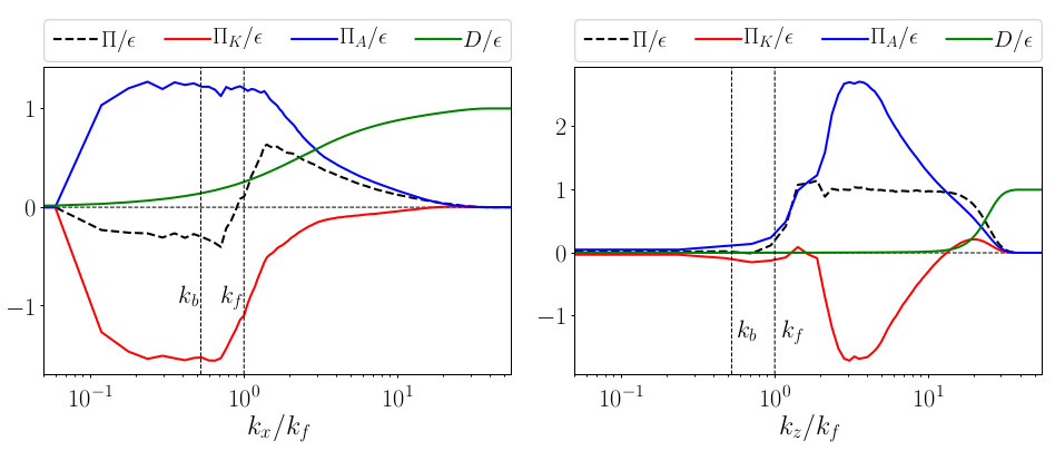
Horizontal and vertical spectral energy budget

$\gamma = 1$ (strongly stratified), $n_x = 3840$

   

The code is interesting!

FluidDyn project

A project to foster open-science and open-source in fluid mechanics

   

A thesis:

  • open-source never so strong,
  • new tools and methods allowing collective work,
  • possibility of collaborations on good quality research codes.

Some packages:

fluidimage, fluidlab, fluidsim, fluidfft, transonic, ...

The code is interesting: FluidSim

(Ashwin Vishnu, Cyrille Bonamy, Miguel Calpe)

  • Open-source collaborative framework / library for writting solvers

  • High quality code (tests run with continuous integration, proper documentation, issue tracker)

  • Very user-friendly

  • Developer friendly: mostly in Python, highly modular (object-oriented Python)

  • Extensible (for example fluidsim-ocean)

  • Specialized in pseudo-spectral (Fourier), but not only

  • Very efficient

Under the hood:

  • FluidFFT: Python / C++ library for (parallel) Fourier transforms (2D and 3D)

  • Transonic and Pythran: "Make your Python code fly at transonic speeds!" (actually at good-C++ speed)

Conclusions

  • Work in progress

  • Dissipation dominated by vertical gradient $\Rightarrow$ not yet "geophysical" regime

  • Very interesting tools (FluidSim, FluidFFT, Transonic)

  • Outputs not shown here (for example spatio-temporal spectra)

Good tools and clean setup to answer these questions

  • Can we obtain (weak?) internal gravity wave turbulence?

  • Statistics similar as in the oceans?