Pierre Augier, Vincent Labarre,
Giorgio Krstulovic and Sergey Nazarenko
European Turbulence Conference, 4-6 Sept. 2023





\[ \newcommand{\R}{\mathcal{R}} \newcommand{\FhR}{(F_h,\ \R)} \]
Internal gravity waves turbulence proposed to explain ocean measurements
…
Internal gravity waves (IGW), “vortices”, shear modes, small-scale turbulence
Horizontal Froude number \(F_h\) and buoyancy Reynolds number \(\R = Re {F_h}^2\)
LAST regime \(F_h<0.02\), \(\R>20\):

Brethouwer, Billant, Chomaz & Lindborg (2007)
\(\rho'(x, z)\)
Questions
Would be good to have “Foundational” open datasets
We built 2 first datasets with \(\neq\) forcing (as Waite & Bartelo, 2004, 2006, Lindborg & Brethouwer, 2007)
Previous studies 
This dataset (“wave” forcing) 
Reproductibility
Reusability
auto-documented standard file formats.
software easy to extend.
Easily understandable/usable: not only raw states. Open software to compute, read, load and represent advanced outputs.
FluidDyn: a project to foster open source and Python in fluid mechanics. A set of open source collaborative Python packages: fluidsim, fluidimage, fluidlab, …
Fluidsim:
A framework to create CFD solvers from whatever (for ex. Snek5000, Fluidsimfoam)
Pseudo-spectral Fourier solvers (ns2d, ns3d, ns3d.strat, sw1l, …).
Documented, tested, very efficient, dev hosted in foss.heptapod.net
ns3d.strat Fluidsim solver
(Navier-Stokes equations with constant \(N\), pseudo-spectral Fourier)
Forcing
Slow internal gravity waves (\(\omega/N \simeq 0.3\))
Large horizontal scales
Constant energy injection rate (\(P_K = 1\))
Time correlated
Shear modes removed from the dynamics
Input parameters: \(N\) and \(\nu\) (\(F_h\) and \(Re\))
Diffusion
Mostly DNS or quasi DNS (\(k_{max} \eta \simeq 1\)) but hyperviscosity for few simulations
\[I_{velo} = \frac{3 E_{K_z}}{E_K}\]
\[I_{diss} = \frac{1 - \varepsilon_{Kz}/\varepsilon_K}{ 1 - 1/3}\]


Brethouwer et al. (2007), …

Maffioli (2017), Garanaik & Venayagamoorthy (2019), Le Reun, Favier & Le bars (2018)

Same forcing (energy injection rate and scales) for all simuls

\(F_h = 0.024\) and \(\R = 13\) (LAST like)


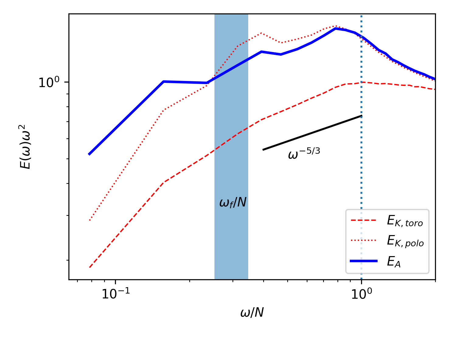
(from spatiotemporal spectra)
More than 40 simulations (spanning the \((F_h,\ \R)\) space) for each forcing type, soon available as open datasets!
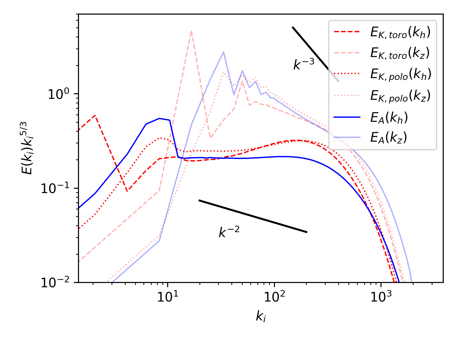
Many different types of outputs and in particular spatiotemporal spectra
5 regimes (Viscosity affected, LAST, Optimal, Weakly strat., Passive scalar)
Indisputable observation of the \(\Gamma \sim {F_h}^{-1}\) and \({F_h}^{-2}\) scalings
For \(F_h\ll 1\) and \(\R>10\) (relevant for oceans), not a pure wave cascade: